郑孝波的博客
开发
毛泽东选集
菜谱
高等数学ai
JAVA
投资
项目管理
乒乓球
周报
教育
默认
切换主题
登录
郑孝波的博客
开发
毛泽东选集
菜谱
高等数学ai
JAVA
投资
项目管理
乒乓球
周报
教育
默认
第八章 微积分
zxbandzby
19
2025-10-11
起源
解释
微分
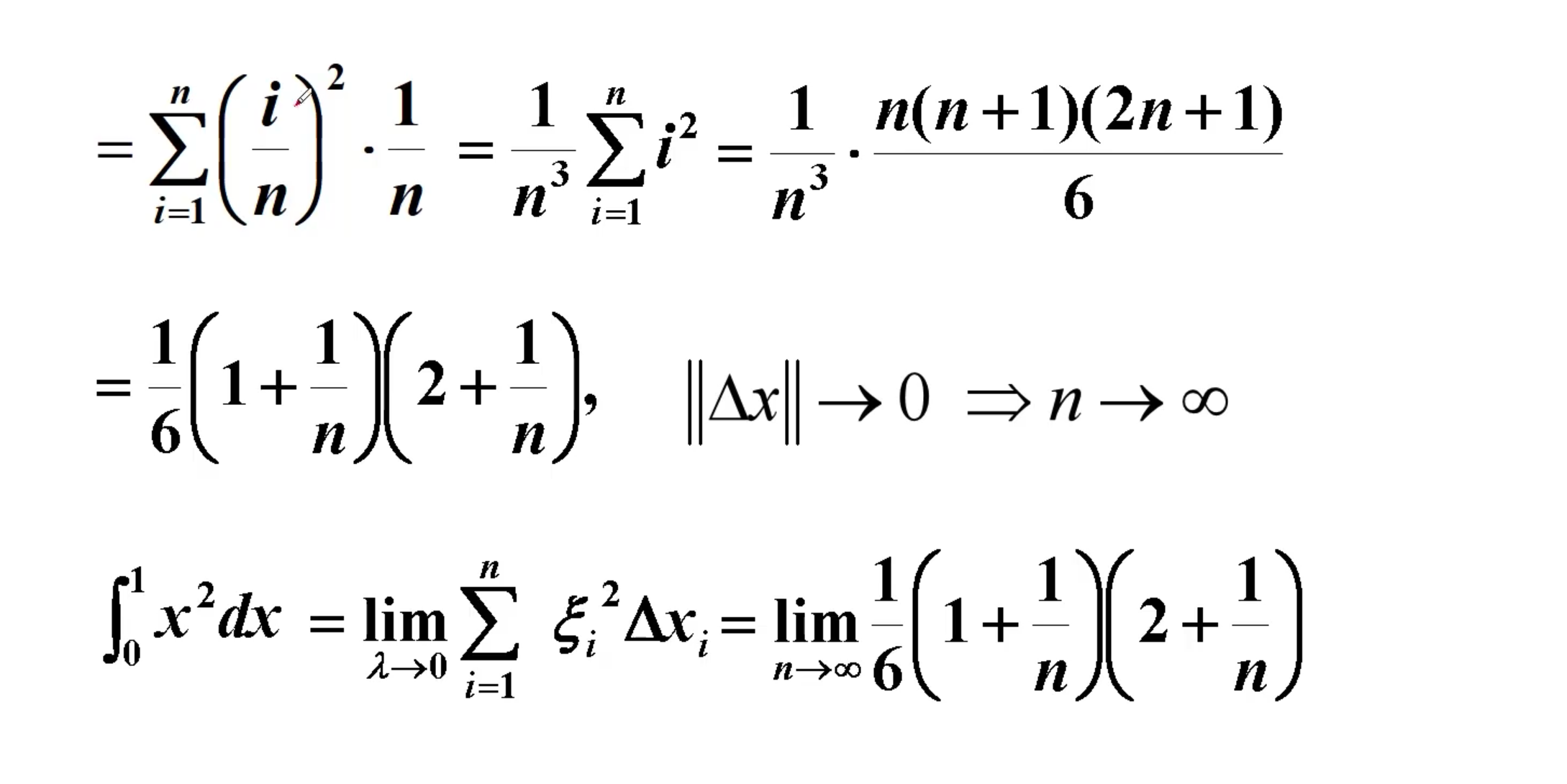
定积分
计算
性质
第一中值定理
上限函数
牛顿-莱布尼茨公式
泰勒公式
📚 目录