郑孝波的博客
开发
毛泽东选集
菜谱
高等数学ai
JAVA
投资
项目管理
乒乓球
周报
教育
默认
切换主题
登录
郑孝波的博客
开发
毛泽东选集
菜谱
高等数学ai
JAVA
投资
项目管理
乒乓球
周报
教育
默认
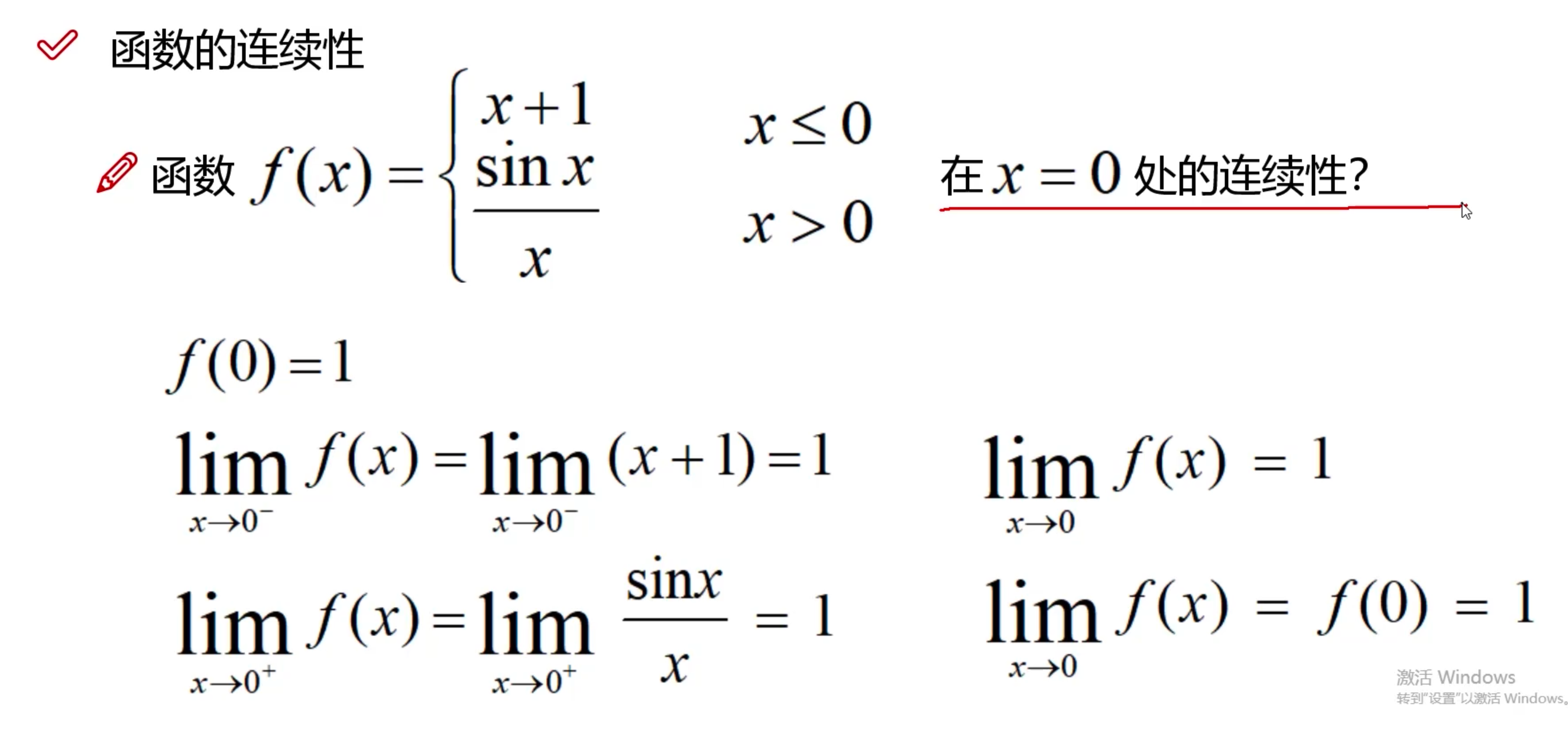
第四章 函数的连续性
zxbandzby
23
2025-10-10
一 定义
二、条件
三、间断点
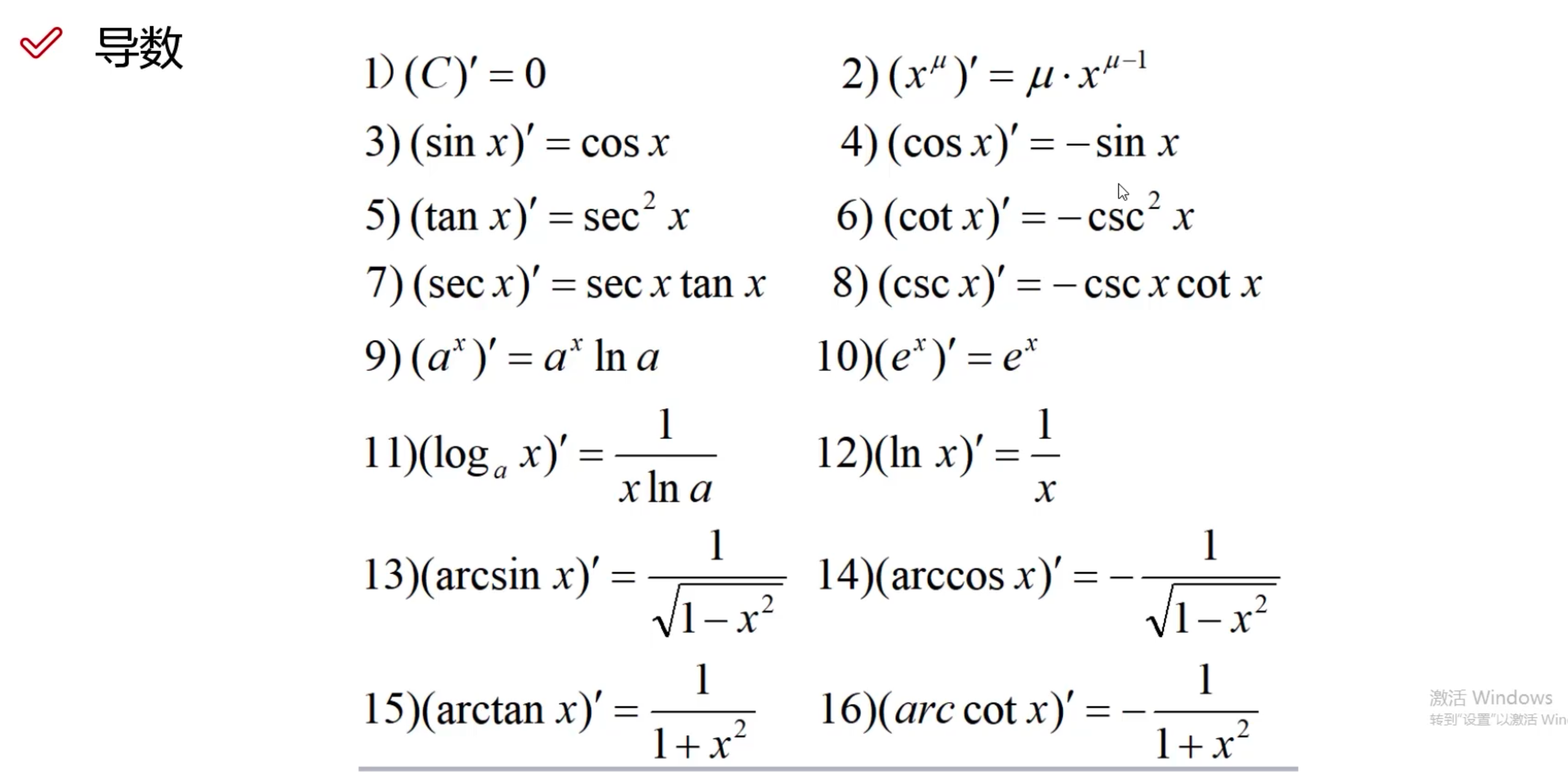
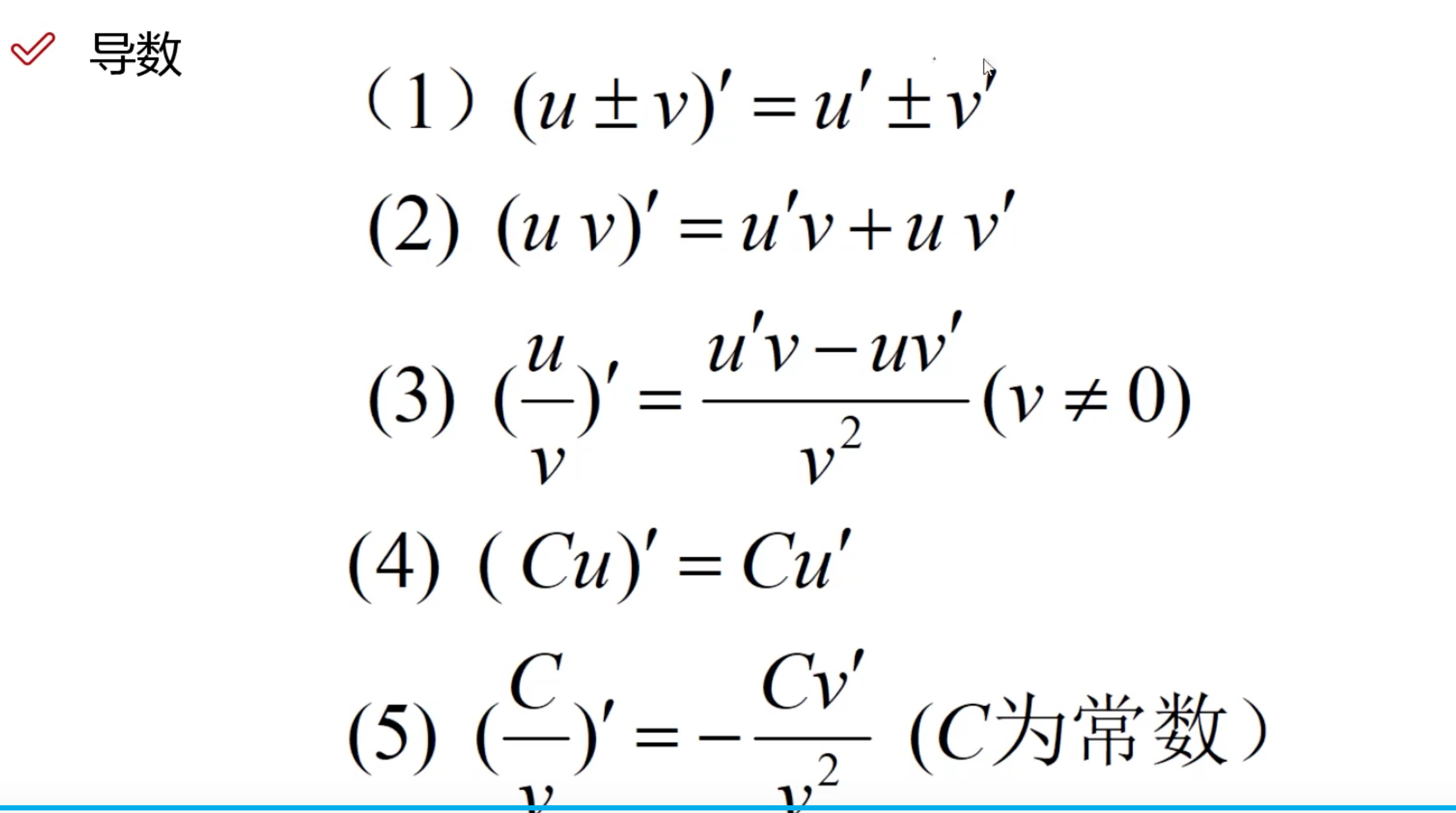
四、导数
📚 目录